TDK 所放弃的低附加值MLCC,下一步将被谁遗弃?
此前有消息称TDK将停止销售部分附加值低的MLCC产品,这一消息的影响范围波及众多行业(邮件截图附在文章底部)。
可以看出,此次计划停售的产品均为普通级、低电压、小容值(pf/nF级),若因此导致订单大规模转入MURATA , SUMSUNG , TAIYO , YAGEO , 华新科,风华高科等对手大厂的话,后者完全可通过不降价甚至提价等措施来婉拒订单,或通过发出最后生产数量通知等方式来婉拒生产计划。毕竟中低容MLCC是低技术含量,低毛利率的产品系列,深刻影响着这些巨头在资本市场上的每股纯利润。
1.巨头厂商深谙求利之道
纵观大势,MLCC市场不断向龙头厂聚拢,目前TOP6 MLCC巨头市场份额占比超过85%。 分别为:村田(37%)、三星 (19%)、太诱(12.5%)、 TDK ( 9.4%)、 国巨(5.4%)、华新科 (3.6%)。而这六大巨头在东京、首尔或台湾已经纷纷上市。真正能创造巨额营收的产品,巨头们心里都清楚。
TDK自己也明白,低容超低容经营得再好都不如审时度势,把产线、技术、精力转向车规级MLCC或其他更有特色的MLCC,如三端子,医疗,加金属框支架,耐高压等小众系列 。
近年来,随着国内厂商的崛起以及技术的成熟,日系厂商正逐步缩减小容值普通品的产能。低容,超低容MLCC业已成为一片利润红海,若继续降价将无异于鸡肋。因此小编提前预警 :TDK正式宣告停产,不排除村田、太诱、三星、国巨、华新科等巨头布其后尘的可能性。
2.低容值现红海,巨头纷纷盯紧汽车电子蛋糕
另一方面,大容值MLCC产品中,大尺寸对于材料的消耗也会让成本直线增加,间接促使小尺寸,大容值日趋成为日系厂商未来的发展趋势。比如村田公司,率先在全球研发并量产0603尺寸,47UF , 4V耐压的小尺寸超高容MLCC,接着又率先研发出01005尺寸 , 0.22UF (224)产品。这些高技术含量产品价格贵、耗材少、利润丰厚,成为村田等公司Y2015财年净利润大幅攀升的最大托手。
随着MLCC技术的日臻成熟,日系厂商把更多的产线资源,人力物力投放在高利润的汽车电子市场,最典型的莫过于TDK ,其中期计划已经把汽车、工业、ICT(信息通信技术)列为其优先发展的三大块市场。借着收购德国EPCOS在欧美汽车电子市场所攒下的老本,TDK这几年在汽车前装后装市场日子过得有滋有味。而汽车电子市场所需的更高温度等级、更加抗震的专门MLCC , 单价会贵出很多。其比起普通的低容,超低容,利润高了好多倍。
无独有偶,另外一家龙头大厂村田公司日前发布的2016-2018财年中期计划中,也明确提出把汽车电子市场列为头号进攻市场。由此看来,接下来的两三年,车规级MLCC很有可能面临着极其惨烈的市场竞争,至于是否成为目前低容MLCC所处的红海市场,届时再分析,余不赘述。
3.中下游企业反应“唯快不破”
在市场变化如此迅速的状况下,作为下游厂商及采购工程师的我们,唯一能做的就是迅速反应,在原厂发布停售公告后,及时做出替代选型方案,“天下武功,唯快不破”,只有这样,才能将原厂生产调整对我们的生产计划产生的影响降到最低。
颖特新网即可实现你“唯快不破”的想法,迅速高效地帮你做出替代选型方案,两种方法实现,操作非常简单,如下:
步骤:(以TDK的一个普通品C1005C0G1H330J050BA为例,进行替代选型说明)。
1.打开颖特新网www.mlcc1.com,出现如下页面:
2.在搜索栏键入需要替代的TDK料号C1005C0G1H330J050BA,就会出现如下页面:
3.点击上图红框标识的参数部分。会出现替代的品牌及对应料号。如下图:
··· ···等等55个替换品。
4.在上图55个对应结果中,客户可根据自己的需求选择第二、第三供应商以及料号。
方案2:使用颖特新网BOM工具步骤:(需要上传TDK的物料参数信息,以excel表格的形式进行上传)。
1.把需要替换的TDK物料整理成如下的excel形式:(左边是TDK料号,右边是参数)
2.打开颖特新网,下拉,有如下BOM上传的地方:
3.点击SHOU ME按钮,陆续出现如下页面:
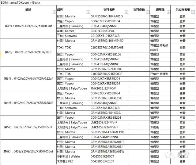
4.点击读取结果,出现如下页面:(表格中每个TDK的物料在右边都有对应的替代料)
5.在页面的最下边有个下载excel的按钮,点击后可以导出BOM表:
手持高效选型查料的颖特新网,你就可以笑看上游厂商各种变化,以不变应万变。
颖特新在手,替代选型方案如你所愿!#一张傲娇的大饼脸#
TDK停售邮件截图:

编辑:admin 最后修改时间:2018-01-05


